Some dogs react to toys in a way that resembles a behavioral addiction

Dogs are known to be playful animals, especially when it comes to playing with toys, but new research suggests that some dogs exhibit extreme attachments to their toys, a behavior that may resemble
Addictive-like behavioral traits in pet dogs with extreme motivation for toy play | Scientific Reports
https://www.nature.com/articles/s41598-025-18636-0
While the answer to the question of what play is remains a mystery, it is thought to be a way for animals to safely practice hunting, mating, fighting, and other behaviors essential to species survival. Play behavior is common in young mammals and some birds, but species with relatively large brains, such as humans and dogs, engage in play throughout their lives. Dogs, in particular, share a long history with humans and are known to deepen their bonds with humans through play. However, apart from humans, domestic dogs are the only species that appear to spontaneously exhibit addictive behaviors without deliberate experimental guidance. It is well known that some dogs exhibit an intense attachment to toys, often referred to as 'ball junkies.' However, because such highly rewarding behaviors can lead to behavioral addictions similar to obsessive compulsions in humans, similar concerns may apply to dogs.
The study investigated 'toy hypermotivation' in dogs, examining whether highly play-motivated dogs met characteristic criteria for behavioral addiction, such as craving, salience, lack of self-control, and mood changes. 105 dogs with high play motivation were selected for the study, and behavioral tests and owner questionnaires were conducted. Nearly one-third of the dogs (33) exhibited addiction-like traits, such as 'excessive attachment to toys' and 'decreased responsiveness to other stimuli.'
The experiment took place in a 5.22m x 3.36m experimental room, divided into two areas by a wooden partition wall. The room was equipped with two chairs and shelves for the experimenter and the owner, and four video cameras were used to record behavior. The experimental procedure began with the owner and dog entering the room and allowing them three minutes to familiarize themselves with the room. Next, the experimenter asked the owner to choose three toys from a box containing various toys that they thought the dog would most like. The toy that the dog most interested in was used in the subsequent subtest. If the dog showed no interest in any of the toys, the owner was asked to choose the type of toy that they usually like most at home. A food puzzle containing dog food was also provided as a control for toy attachment and as a compensatory behavior in case the toy was not available.

The experimental procedure consisted of 14 subtests assessing various aspects of dogs' toy motivation.
| Subtest | time | Related Addiction Criteria Coding | |
|---|---|---|---|
| 1 | Choose a toy | 30 seconds | How eager is the child to get close to the toy and how does their mood change when they get close to the toy? |
| 2 | Playing with toys with owner | 1 minute | - |
| 3 | Playing with the owner without being able to reach the toy | 1 minute | Can your pet concentrate on playing with you even when it can't reach the toy? |
| 4 | Tug of war with owner | 1 minute | - |
| 5 | Playing independently after tug-of-war | 30 seconds | - |
| 6 | Playing alone in a room without the owner or experimenter | 30 seconds | How much stress from being left in a strange room affects toy play |
| 7 | Playing alone in the room after the owner and experimenter returned | 30 seconds | - |
| 8 | Reaction to a thrown toy | - | How much self-control is required before the toy is thrown and how willing is the child to let go of the toy? |
| 9 | Solve a food puzzle without being able to reach the toy | 3 minutes | Do they have the concentration to learn how to get the dog food from the puzzle without being able to reach the toy? |
| 10 | Place the food puzzle on the floor with the toy out of reach | 3 minutes | When the toy is out of reach, will the child engage in compensatory behavior (trying to reach the food puzzle) or try to get the toy? |
| 11 | Keep toys and food puzzles out of reach | 3 minutes | - |
| 12 | Place toys and food puzzles on the floor | 3 minutes | - |
| 13 | Keep toys out of reach | 3 minutes | When the toy is out of reach, does the child relax or do other activities, or become obsessed with the toy? |
| 14 | Remove toys and food puzzles from the room and cool down | 15 minutes | Does your child relax or do other activities when the toys are gone from the room? |
During the final subtest, the cool-down period, owners were also given a questionnaire regarding their dog's motivation for the toy. Questions were answered on a 5-point Likert scale: 1: Strongly Disagree, 2: Partially Disagree, 3: Neither Agree nor Disagree, 4: Partially Agree, and 5: Strongly Agree. The survey questions correspond to characteristic
| Characteristic criteria for behavioral addiction | Corresponding questions |
|---|---|
| salience | My dog forgets everything else around him when he has a toy My dog loses interest in food when playing with a toy My dog loses interest in social interaction when playing with a toy My dog continues to play with a toy despite negative consequences My dog does not seem to be in pain or discomfort when playing with a toy |
| Mood changes | Playing with toys makes my dog happy |
| craving | My dog hasn't had a chance to play with a toy in a while and can't wait to play with it again. |
| Lack of self-control | When my dog plays with toys, it's hard to stop him. My dog continues to play with toys despite the negative consequences. |
| Tolerance | My dog needs more and more play to be happy |
| withdrawal symptoms | My dog gets stressed and excited when he is prevented from playing. |
| Risk of relapse after withdrawal | My dog hasn't had a chance to play with a toy in a while and can't wait to play with it again. |
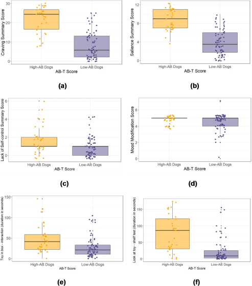
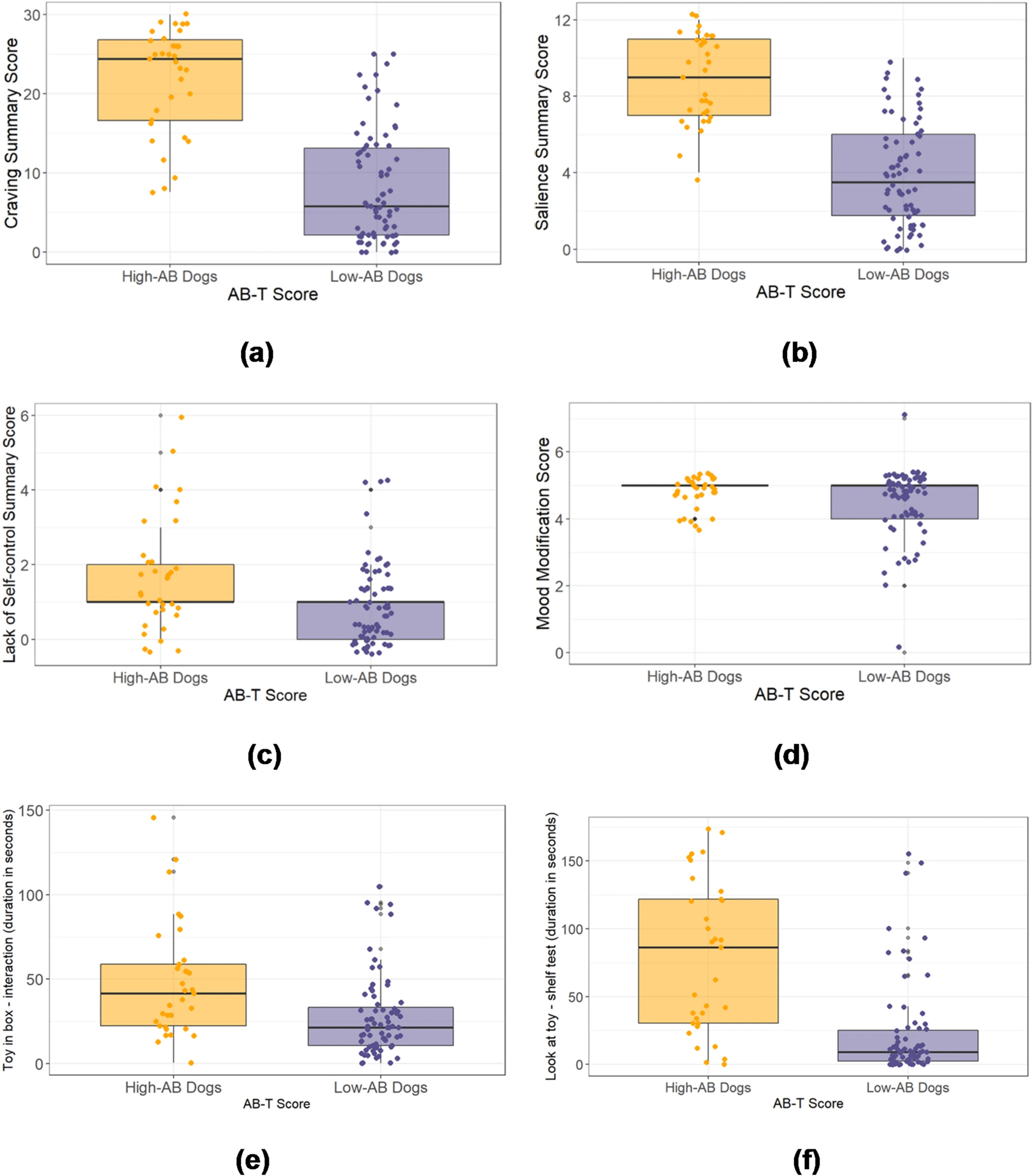
As a result, some of the dogs (33 out of 105) who were highly motivated toward the toy exhibited behaviors that indicated addictive tendencies. Dogs with a high tendency toward addictive behaviors are classified as 'high AB dogs,' while those without are classified as 'low AB dogs.' Behavioral patterns indicated that high AB dogs spent longer trying to access toys that were out of their reach during behavioral tests and tended to have less interest in other stimuli, such as food or interaction with their owner. Furthermore, owner survey results indicated that high AB dogs experienced significant mood changes when playing with toys, and exhibited characteristics similar to a lack of self-control and withdrawal symptoms.
For further analysis, the scores compiled for each behavioral addiction criterion were compared, and high AB dogs showed significantly higher scores than low AB dogs, particularly in ' craving (a) ,' ' salience (b) ,' and ' lack of self-control (c) .' These results indicate that dogs with excessive motivation for toys exhibit behaviors that are typical of behavioral addiction. On the other hand, no significant difference was found for ' mood changes (d). ' This may be because high AB dogs are only as excited about toys as low AB dogs, or that behavioral addiction may transcend the simple enjoyment of play.

These research results suggest that excessive toy motivation in dogs may share a common foundation with human behavioral addictions. While behavioral addictions related to gambling and internet gaming in humans stem from play, only a minority of cases result in addiction, and in many cases, toy play has a positive impact on people's lives, such as increasing self-esteem and relieving daily stress. Similarly, while playing with toys is generally a healthy behavior in dogs, some dogs exhibit excessive attachment, suggesting that their behavior may have addictive characteristics.
Related Posts:







